Próbny egzamin ósmoklasisty CKE 2026. Wszystkie ODPOWIEDZI z matematyki 13.01.2025

2026-01-13 11:14

Próbny egzamin ósmoklasisty 2026 z matematyki już za nami! We wtorek 13 stycznia uczniowie mieli 125 minut na rozwiązanie zadań. Było trudno? W tym artykule znajdziecie arkusze CKE oraz klucz odpowiedzi do wszystkich zadań, zarówno zamkniętych, jak i otwartych. Zobacz, jakie były prawidłowe rozwiązania i policz swoje punkty!

Choć do oficjalnych egzaminów ósmoklasisty zostało jeszcze kilka miesięcy, uczniowie w całej Polsce już teraz mają okazję sprawdzić swoją wiedzę. We wtorek, 13 stycznia 2026 roku, o godzinie 9:00 ósmoklasiści zmierzyli się z królową nauk podczas testu diagnostycznego. Próbny egzamin ósmoklasisty 2026 z matematyki to idealna okazja, by oswoić się z formułą arkusza i sprawdzić, które działy wymagają jeszcze powtórki przed majem. W naszym artykule znajdziecie arkusze CKE oraz, co najważniejsze, wszystkie poprawne odpowiedzi!

Próbny egzamin ósmoklasisty 2026 - harmonogram. Kiedy i o której godzinie?

Centralna Komisja Egzaminacyjna ustaliła termin właściwych egzaminów na 11-13 maja 2026 roku. Zanim jednak uczniowie przystąpią do tego najważniejszego testu, mogą wziąć udział w trzydniowym maratonie egzaminów próbnych, które rozpoczęły się 12 stycznia. Harmonogram wygląda następująco:

  • Poniedziałek, 12 stycznia 2026, godz. 9:00 – egzamin próbny z języka polskiego (czas trwania: 150 minut),
  • Wtorek, 13 stycznia 2026, godz. 9:00 – egzamin próbny z matematyki (czas trwania: 125 minut),
  • Środa, 14 stycznia 2026, godz. 9:00 – egzamin próbny z języka angielskiego (lub innego języka obcego nowożytnego) (czas trwania: 110 minut).

Udział w egzaminach próbnych nie jest obowiązkowy, jednak zdecydowana większość uczniów podchodzi do testów. To doskonała okazja, aby zapoznać się ze strukturą arkusza, typami zadań i zasadami punktacji, co z pewnością zmniejszy stres w dniu prawdziwego egzaminu w maju. Testy diagnostyczne pozwalają także zidentyfikować obszary, w których uczeń radzi sobie dobrze, oraz te, które wymagają dodatkowej pracy i powtórek.

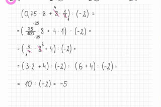
Egzamin ósmoklasisty 2026 matematyka - ODPOWIEDZI 

Uczniowie, którzy we wtorek 13 stycznia zasiedli do próbnego egzaminu z matematyki, mieli 125 minut na rozwiązanie wszystkich zadań zawartych w arkuszu CKE. Dzień wcześniej, podczas testu z języka polskiego, musieli zmierzyć się zarówno z zadaniami zamkniętymi, otwartymi, jak i napisać dłuższą formę wypowiedzi. Jak było na matematyce? Czy zadania okazały się trudne? Teraz możecie to sprawdzić! Specjalnie dla Was zebraliśmy w jednym miejscu arkusze egzaminacyjne CKE oraz klucz odpowiedzi. Poprawne odpowiedzi z próbnego egzaminu ósmoklasisty 2026 z matematyki publikujemy dzięki uprzejmości portalu Matematyka Gryzie. Poniżej znajdziecie prawidłowe rozwiązania, które pozwolą Wam zweryfikować swoją wiedzę i policzyć, ile punktów udało Wam się zdobyć.

Egzamin ósmoklasisty 2026 matematyka - ARKUSZE CKE

Siła Kobiet
Dziecko z zespołem Downa – historia Marzeny. SIŁA KOBIET