Mamy ODPOWIEDZI matury próbnej z matematyki rozszerzonej. Gotowe rozwiązania i klucz

2024-12-13 8:58

Odpowiedzi matury próbnej z matematyki rozszerzonej 2024 dla najlepszych uczniów były oczywiste, a inni liczyli na przypływ nagłej wiedzy, a także próbowali przypomnieć sobie sposoby rozwiązywania poszczególnych równań. Matura z matematyki rozszerzonej 12 grudnia 2024 była łatwa czy trudna? Pierwsze komentarze, które pojawiły się z samego rana wyraźnie pokazywały, że poziom był naprawdę bardzo wysoki. Teraz uczniowie przekonali się, że z matematyką rozszerzoną nie ma żartów. A na głównym egzaminie dojrzałości w maju 2025 może być jeszcze trudniej. Jakie odpowiedzi matury rozszerzonej matematyka 2024 są prawidłowe? Gotowe rozwiązania sprawdzicie na naszej stronie!

Odpowiedzi matura próbna rozszerzona matematyka 2024 na pewno Wam się przydadzą, jeśli liczycie na wysoki wynik, który uspokoi Was przed nadchodzącym egzaminem dojrzałości w maju! Jakie odpowiedzi z matematyki rozszerzonej na maturze próbnej 12.12.2024 były prawidłowe? Zastanawiacie się czy wasze odpowiedzi na maturze próbnej rozszerzonej 2024 są dobre i dostaniecie za nie punkty? Gotowe rozwiązania z matematyki 2024 online, które dla was przygotowaliśmy, sprawią, że tuż po wyjściu z sali będziecie przeanalizować i policzyć orientacyjną liczbę punktów. Wbrew pozorom matura z matematyki rozszerzonej 2024 cieszy się ogromną popularnością, co wyraźnie pokazują statystyki. To drugi najchętniej wybierany przedmiot dodatkowy. W maju 2024 zdawało go ponad 70 tysięcy osób.

Mamy ODPOWIEDZI matury z angielskiego rozszerzonego. Gotowe rozwiązania i klucz

Oto ARKUSZ CKE matury próbnej z historii 2024. Arcytrudne zadania na rozszerzeniu!

Mamy ODPOWIEDZI matury próbnej z matematyki. Gotowe rozwiązania i klucz

Wydało się, jak naprawdę Roksana Węgiel sprawowała się w szkole! Specjalne traktowanie

Matura próbna rozszerzona matematyka 2024 - ODPOWIEDZI

Odpowiedzi matura próbna rozszerzona matematyka 2024 online znajdziecie w naszej galerii. Polecenia dla jednych były oczywiste, a dla drugich zaskakująco trudne. Mnóstwo osób dość szybko wyrażało swoje zirytowanie w mediach społecznościowych. Niektóre komentarze kompletnie nie nadają się do zacytowania. Jeśli jakieś zagadnienie nie jest dla Was oczywiste, to spróbujcie przeanalizować arkusz samemu lub z nauczycielem i do maja 2025 postarajcie się nadrobić zaległości. Wszystko po to, by zdobyć minimum 30 procent punktów z dodatkowego przedmiotu. Które odpowiedzi próbnej matury z matematyki rozszerzonej 2024 były prawidłowe? Gotowe rozwiązania 12 grudnia 2024 przygotowali dla Was eksperci z serwisu Matematyka Gryzie. Sprawdźcie je na naszej stronie!

Odpowiedzi matura próbna rozszerzona matematyka 2024 - ROZWIĄZANIA

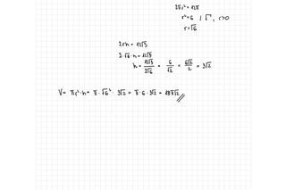
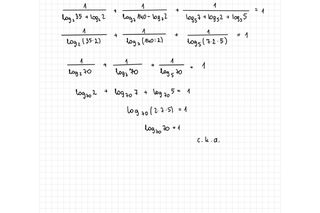
Odpowiedzi z matematyki rozszerzonej 12.12.2024 pozwolą Wam przeanalizować poszczególne zadania, ale przede wszystkim policzyć orientacyjną liczbę punktów. Każde zadanie wymagało dużej koncentracji i wykazania się wiedzą. Pierwsze polecenie dotyczyło obliczenia milikulombów ładunku zgromadzonych w kondesatorze. Drugie na wykazaniu, że trójkąt jest równoramienny. Trzecie to zadanie z objętością walca, czwarte z logarytmem, a piąte z prawdopodobieństwem. Trudności mogło sprawić też zadanie jedenaste. Tu uczniowie musieli obliczyć funkcję kwadratową, wyznaczając wszystkie wartości parametru. Jakie odpowiedzi z matematyki rozszerzonej 2024 są prawidłowe? Przekonajcie się sprawdzając naszą galerię.