Matura próbna 2023 matematyka. ODPOWIEDZI na wszystkie zadania z arkusza 7.12

2023-12-07 11:54

Matura próbna 2023 to wyzwanie, z którym uczniowie ostatnich klas szkół średnich muszą zmierzyć się tuż przed samymi świętami. 7 grudnia 2023 to drugi dzień egzaminów. Tego dnia maturzyści stanęli przed testem z matematyki. Po opuszczeniu sali szukają poprawnych odpowiedzi. Rozwiązania zadań dostępne są w naszej galerii.

Matura próbna 2023 to pierwsze starcie przyszłorocznych maturzystów z egzaminem dojrzałości. Matematyka to przedmiot, z którym zmierzyli się drugiego dnia. 7.12.2023 to dzień, kiedy na sali egzaminacyjnej rozdane zostały arkusze maturalne z matematyki. Dzień wcześniej uczniowie liceów i techników rozwiązali arkusze z języka polskiego. Matematyka zazwyczaj jest jednak bardziej stresująca. To przedmiot, na który maturzyści poświęcają najwięcej czasu. Matura próbna z matematyki 2023 to okazja do sprawdzenia swojej dotychczasowej wiedzy i podjęcia decyzji, nad jakimi tematami warto skupić się najbardziej przed majem. 7 grudnia 2023 internauci będą szukać odpowiedzi na zadania, z którymi zmierzyli się uczniowie przystępujący do matury próbnej.

Eska Daje Szkołę #1 Co to jest inflacja?

Matura próbna 2023 matematyka - ODPOWIEDZI

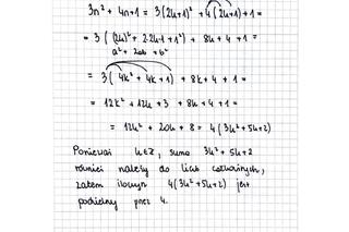
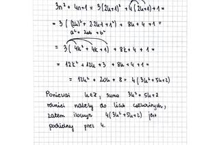
Odpowiedzi z matury próbnej 2023 z matematyki to informacje, które będą poszukiwane przez uczniów oraz ich rodziców w czwartek, 7 grudnia 2023. Na oficjalne wyniki trzeba będzie poczekać do momentu, aż arkusze egzaminacyjne zostaną sprawdzone przez nauczycieli. Internauci chcą znać poprawne odpowiedzi już w dzień testu, ponieważ oczekiwanie zawsze jest bardzo stresujące. 7.12.2023 odpowiednie rozwiązania zadań znajdziecie w tym artykule w ESKA.pl. Znajdują się galerii, którą zamieszczamy poniżej. Sprawdźcie, jak sobie poradziliście. Specjalnie dla Was zadania rozwiązał zespół Matematyka Gryzie.